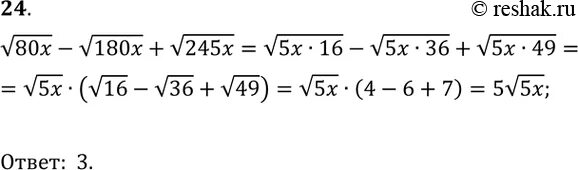
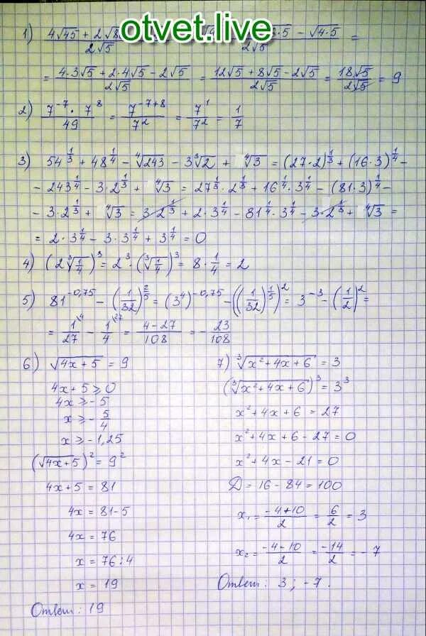
1 4 корень 80