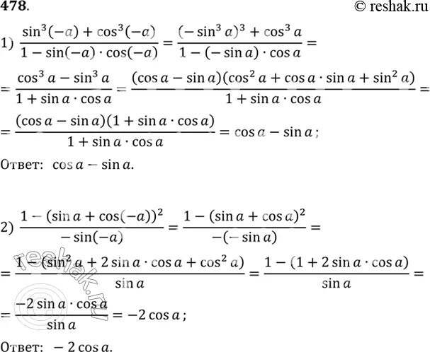
1 cos 2a sin 2a упростить