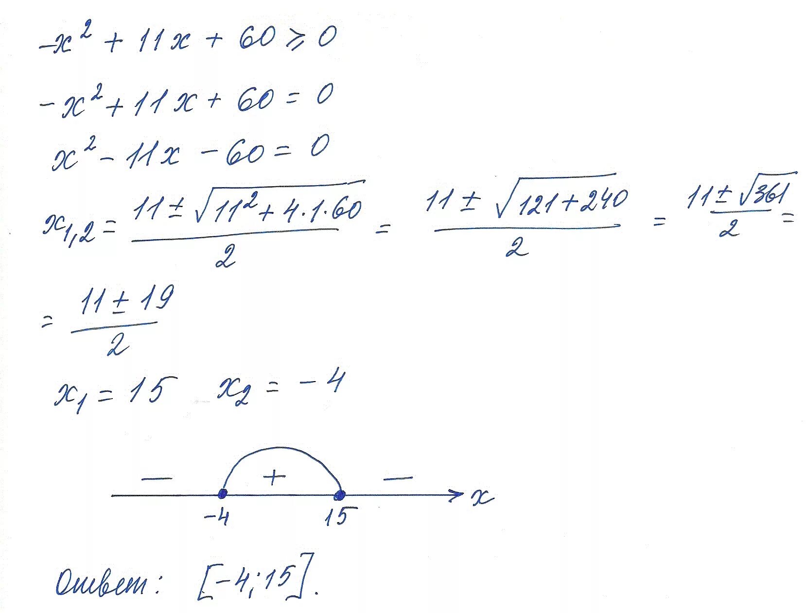
11 х 2 х 2 впр