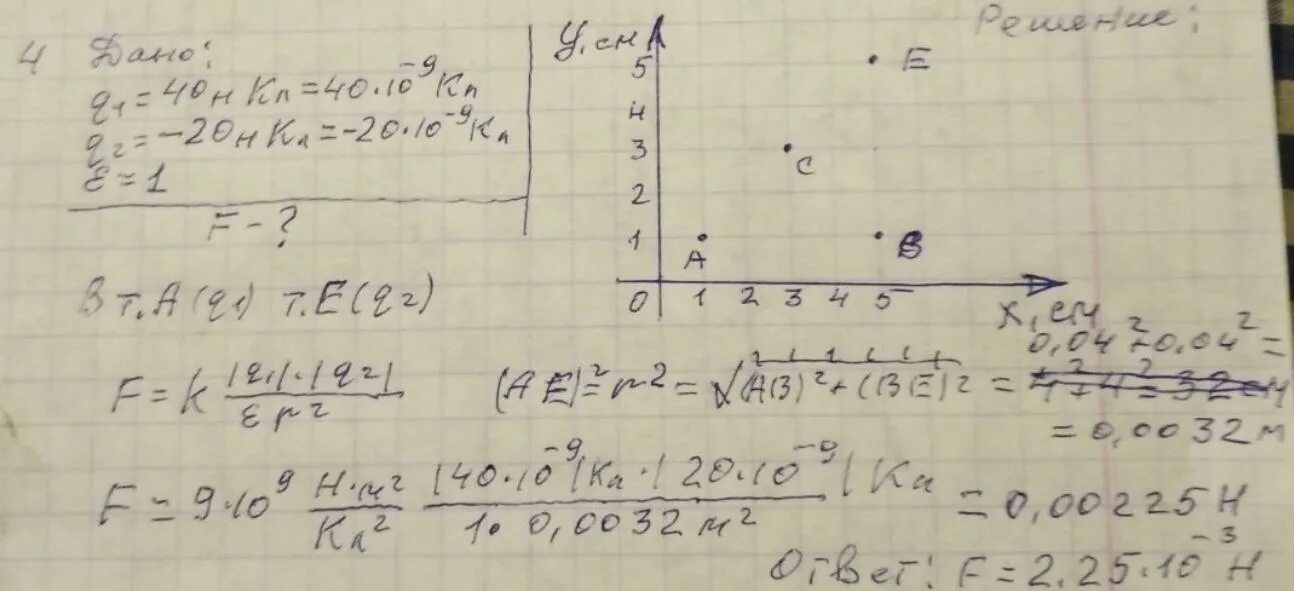
11 нкл