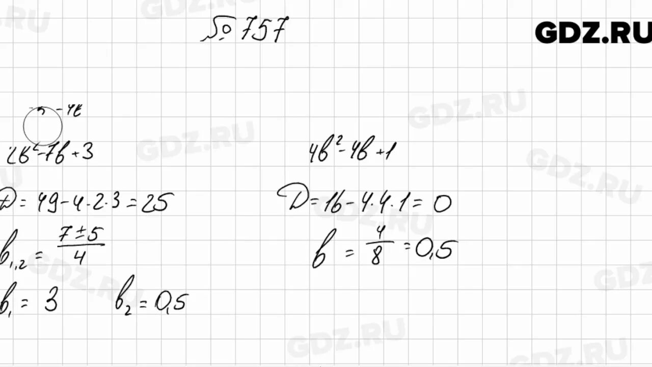
145 алгебра 8 мерзляк