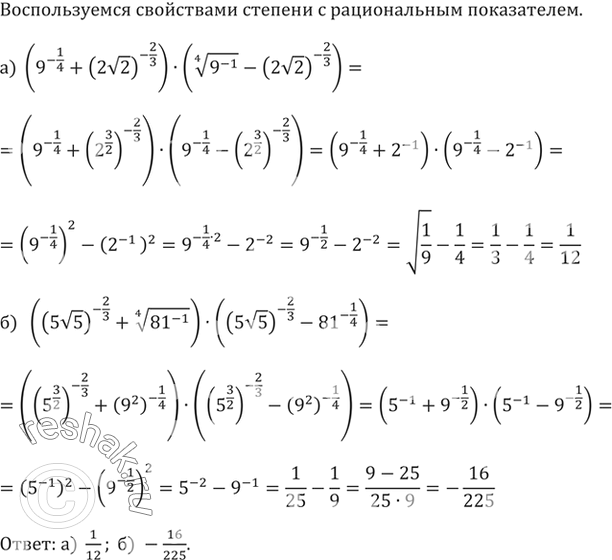
18 в степени 27