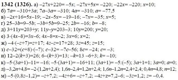
3 11y 203 y