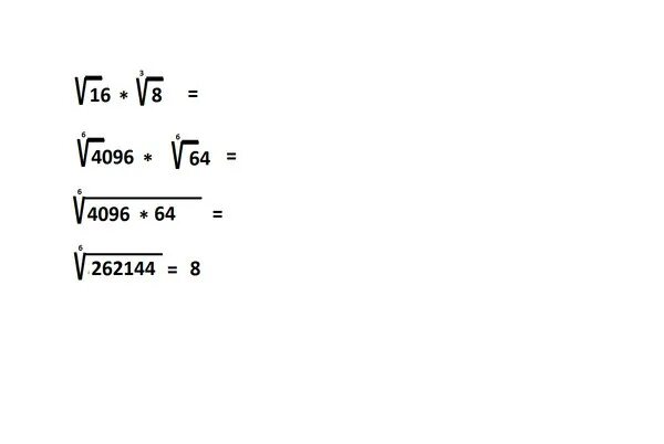
3 умножить на корень 0 16