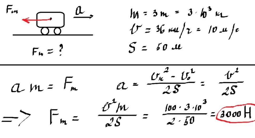
36 км час в м с