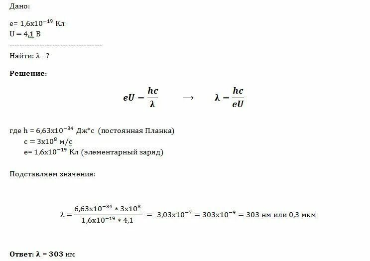
4 19 дж