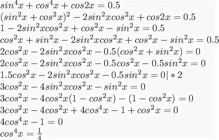
4 cos2 x 1 0