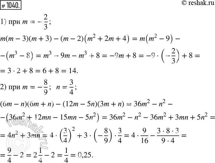
4m 1 3 2m m 2