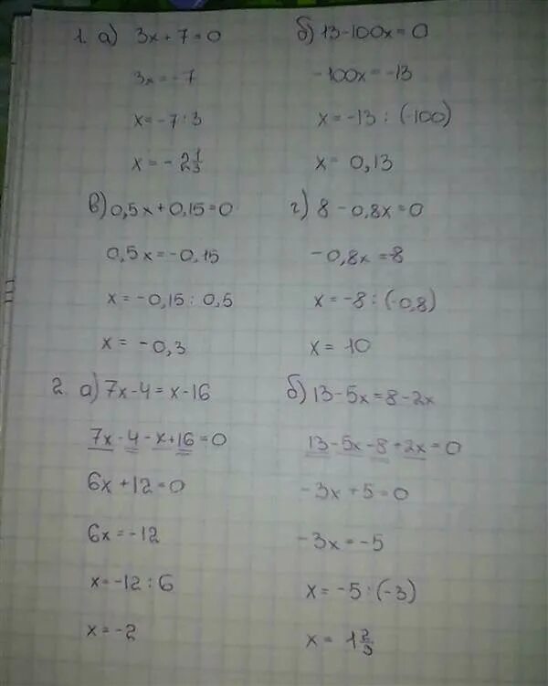
5 решите уравнение а б