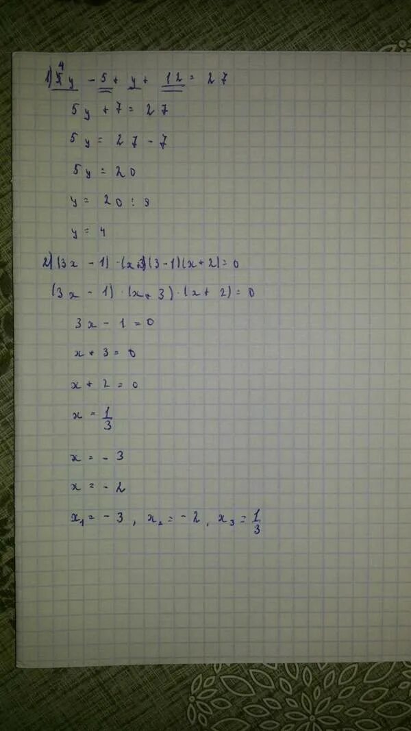
5 y 1 y 5 решить