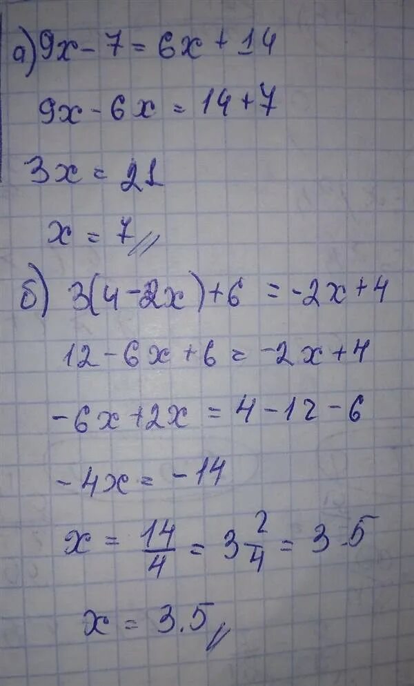
6 7x 4 7