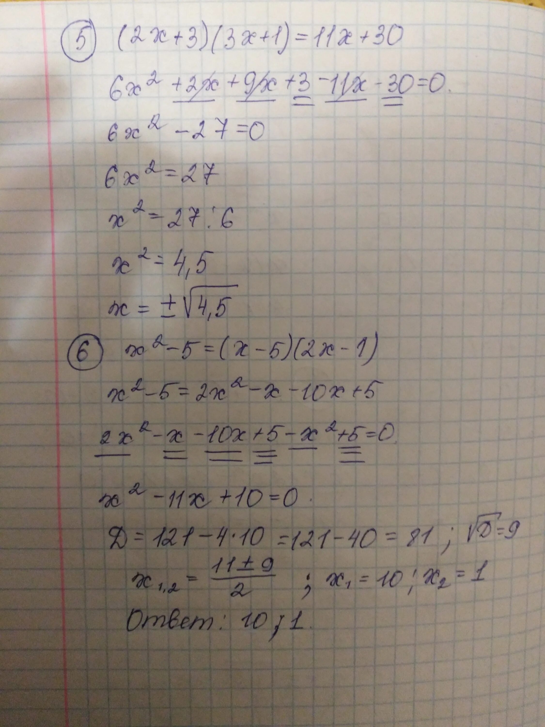
6x 2 11 0