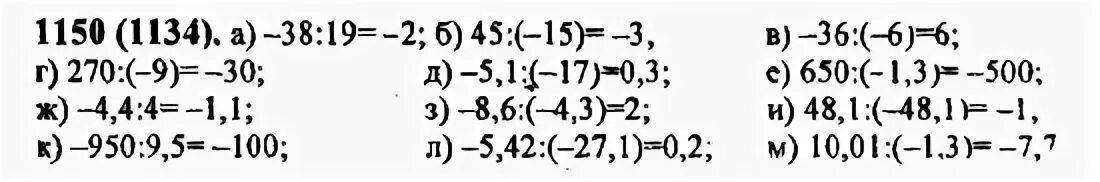
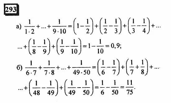
7 8 3 10 математика 6 класс