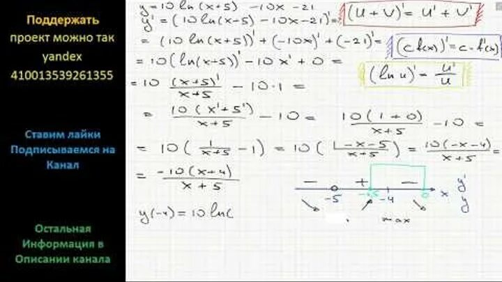
7x ln x 9 7