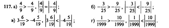
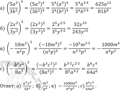
8 117 математика