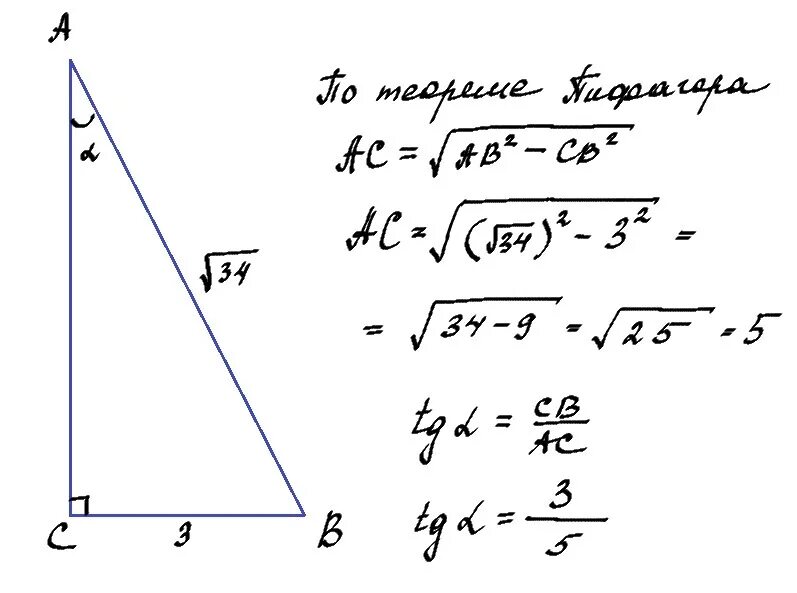
8 корень 34