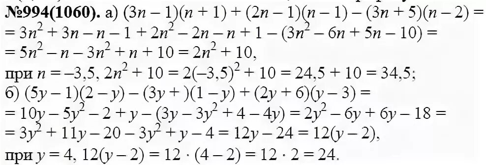
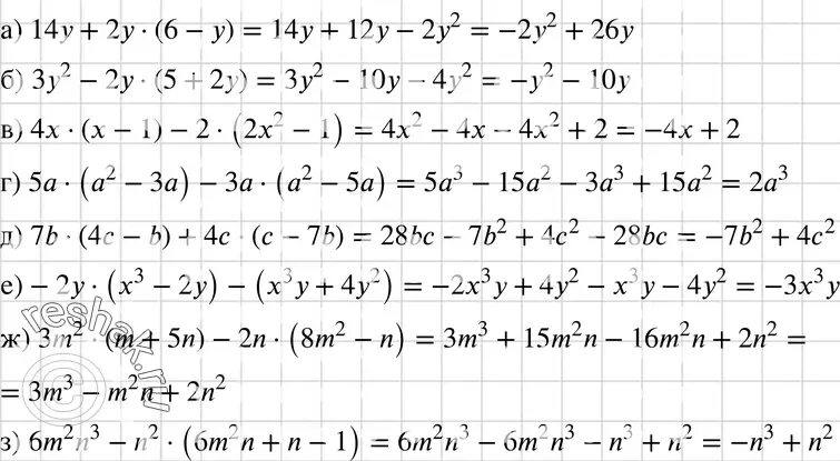
921 макарычев 7 класс