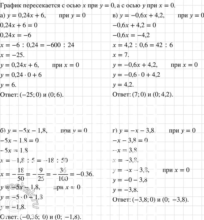
955 макарычев 7