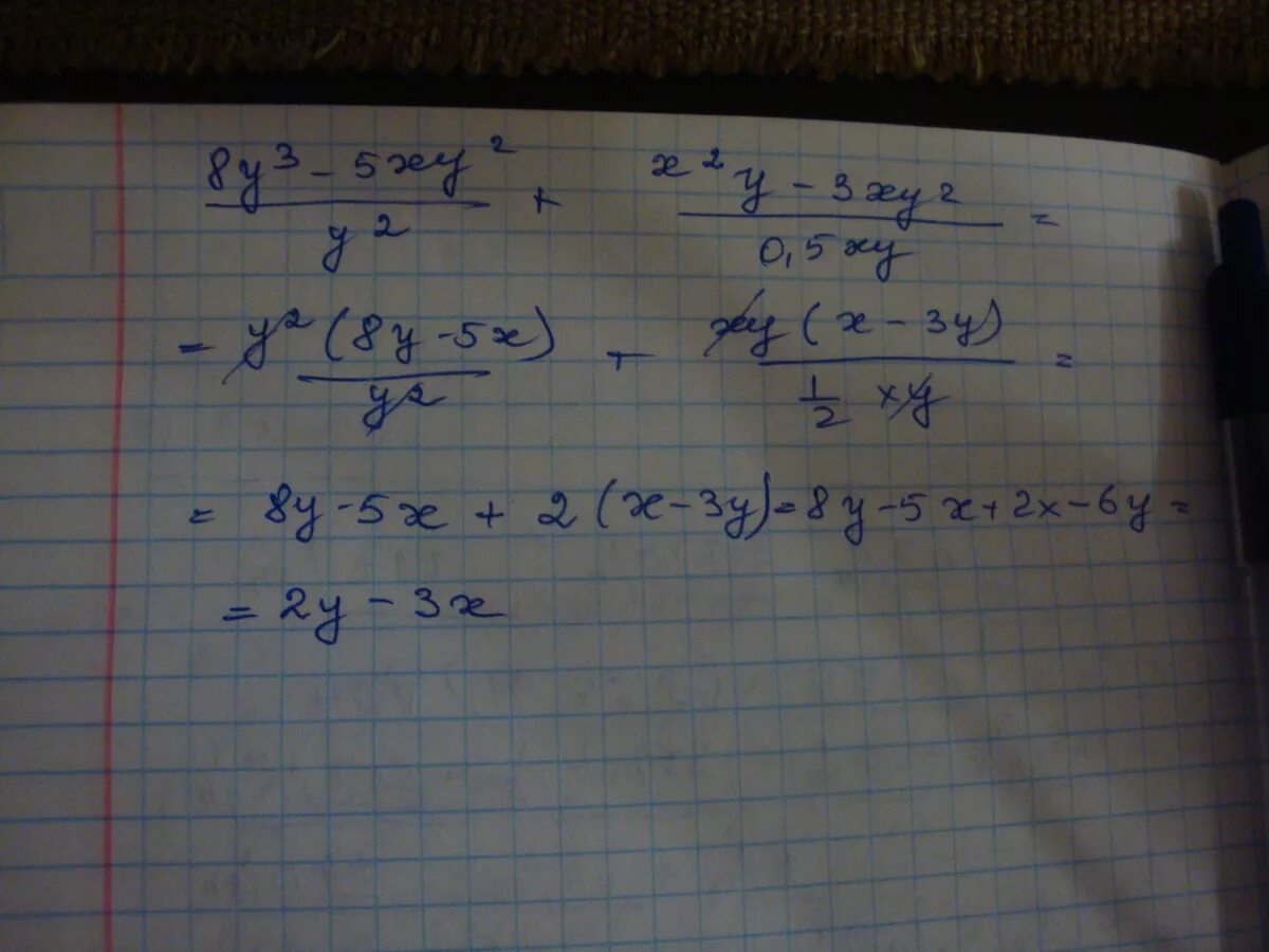
9a 2 y 2