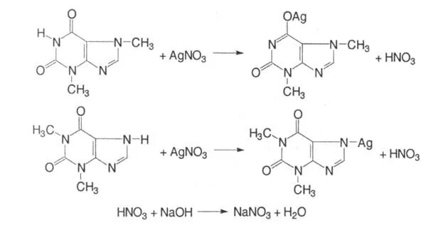
Agno3 это