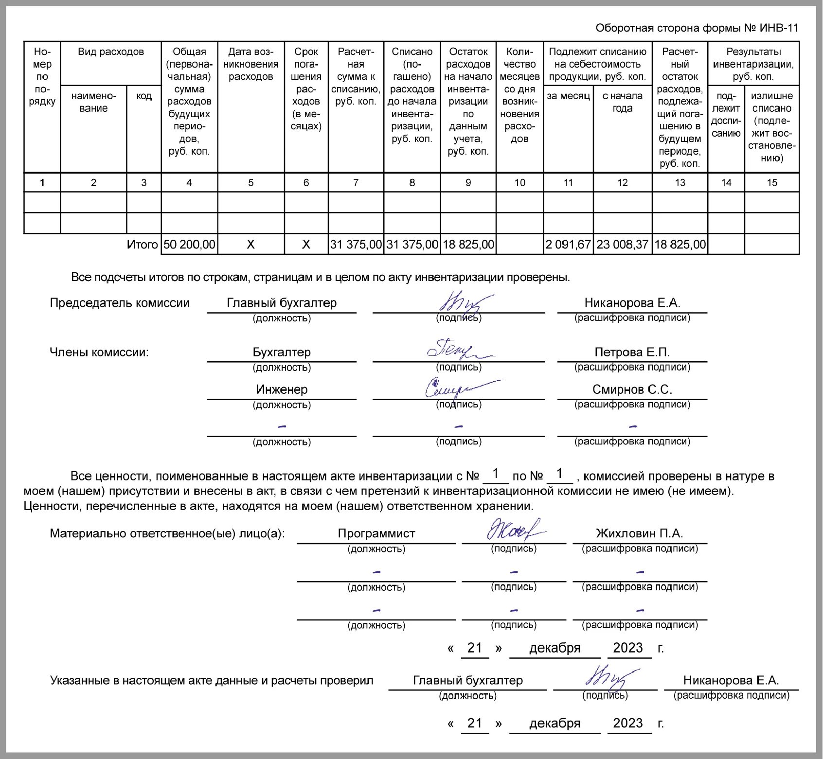
Акт 11 1