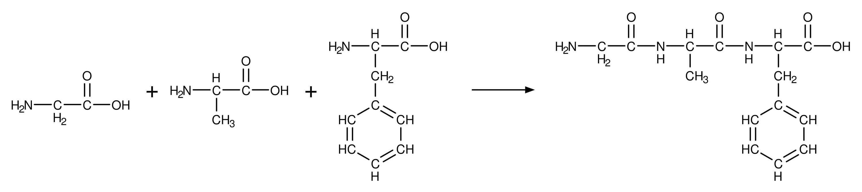
Ала гли фен