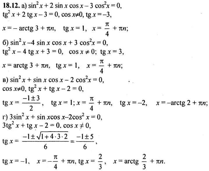
Алгебра 10 класс 524