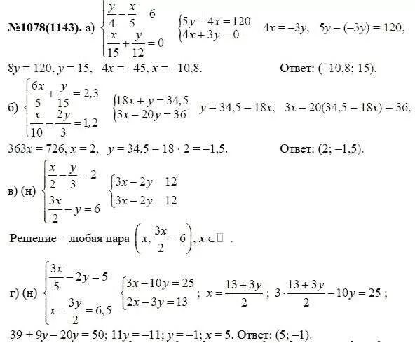
Алгебра 10 класс номер 60