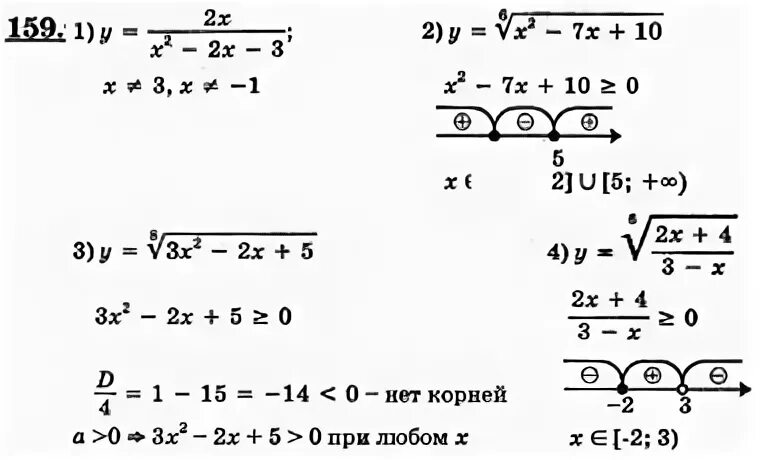
Алгебра 2010 11