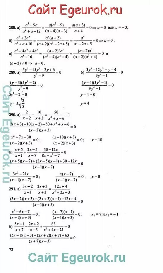
Алгебра 291