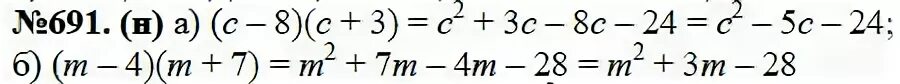
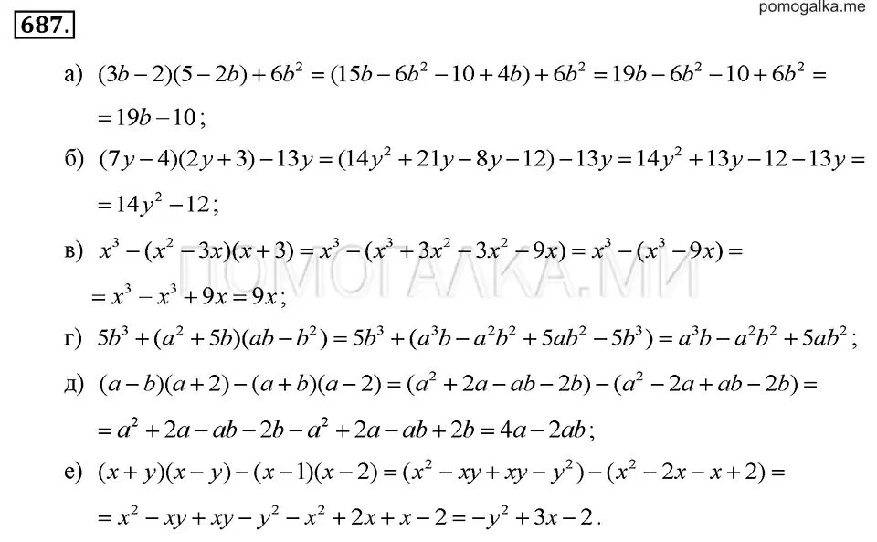
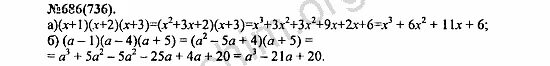
Алгебра 7 класс 687 стр 148