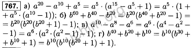
Алгебра 7 класс макарычев 767