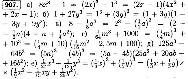
Алгебра 7 класс макарычев номер 907