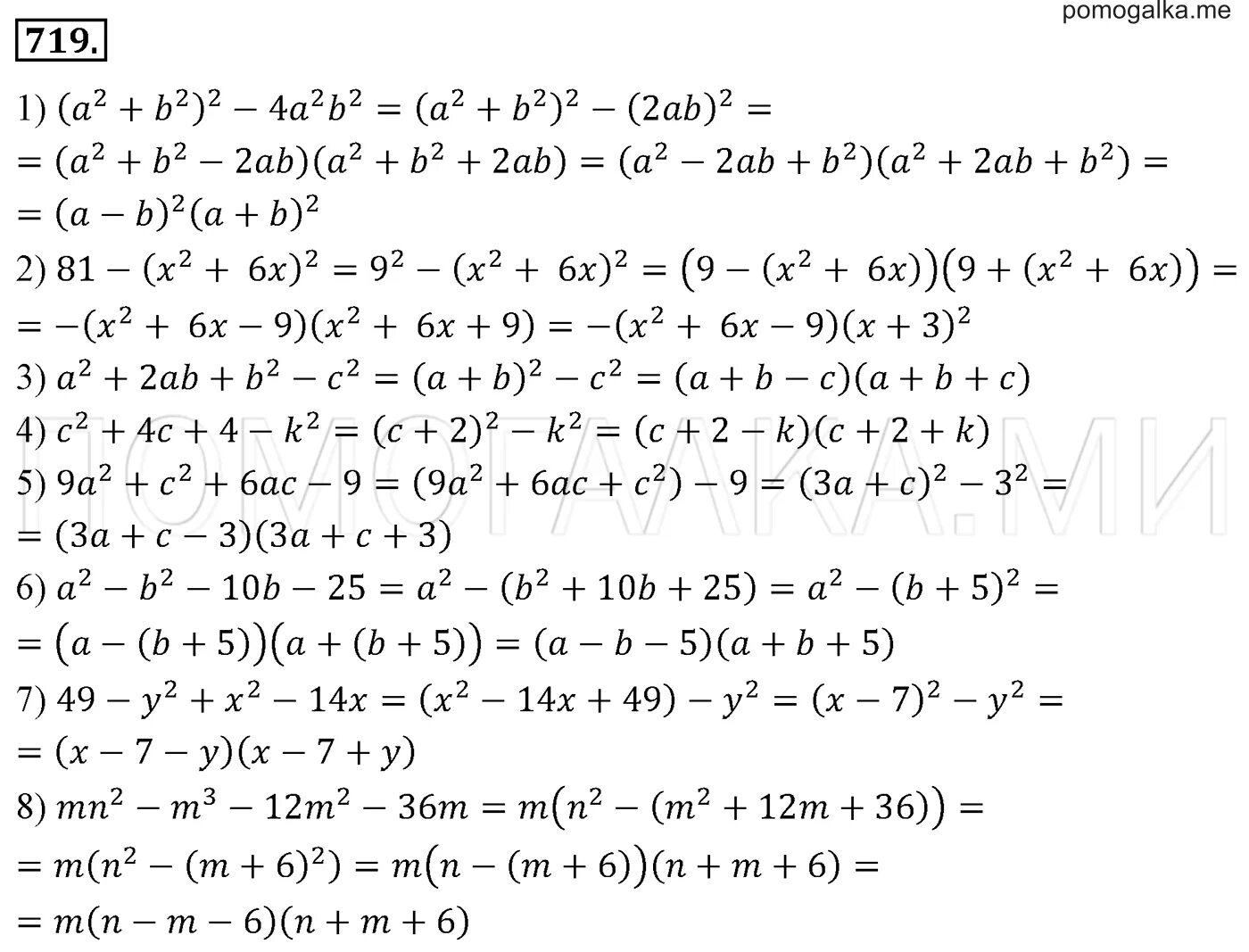
Алгебра 7 класс мерзляк 2019