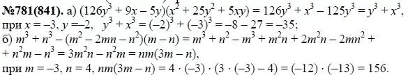
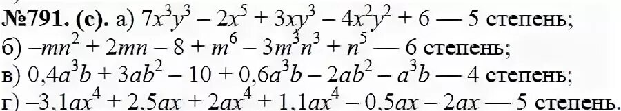
Алгебра 7 класс миндюк 2019