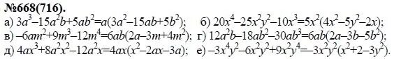
Алгебра 7 класс номер 144 страница 33