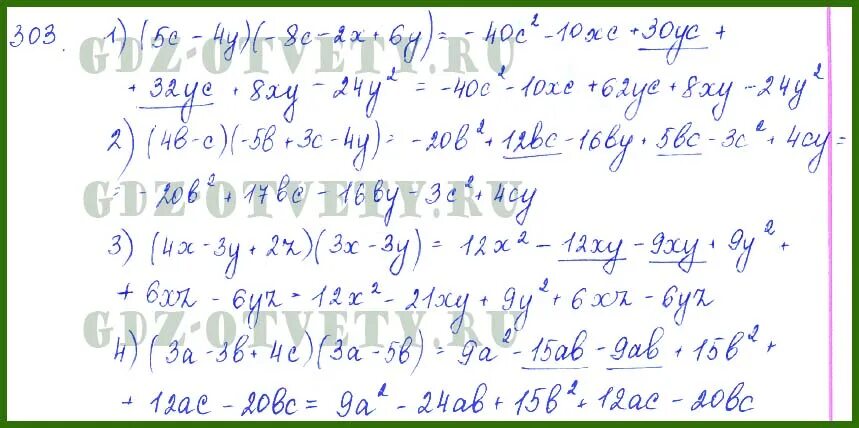
Алгебра 7 класс номер 303