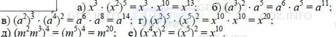
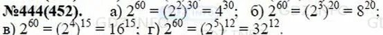
Алгебра 7 класс номер 444 стр 107