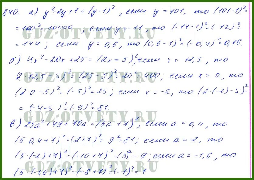
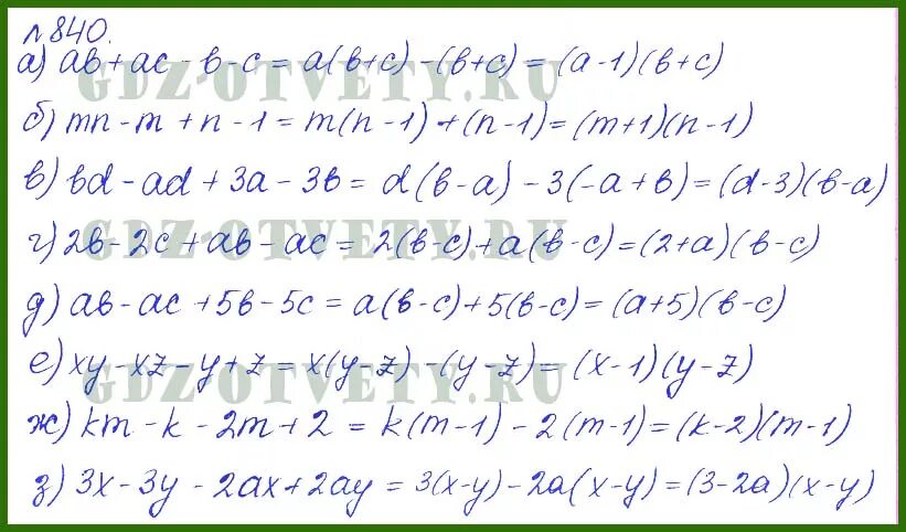
Алгебра 7 класс номер 840