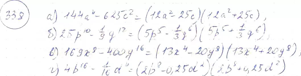
Алгебра 7 класс стр 13 номер 33