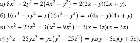
Алгебра 7 класс упр 153