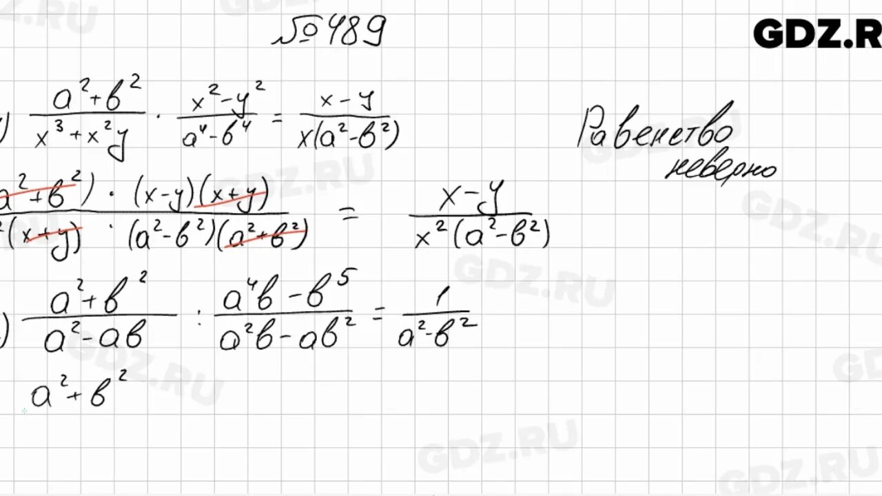
Алгебра 7 класс упражнение 489