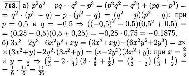
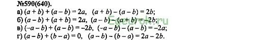
Алгебра 7 упр 131