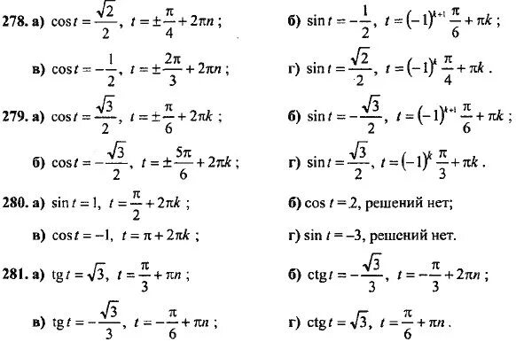
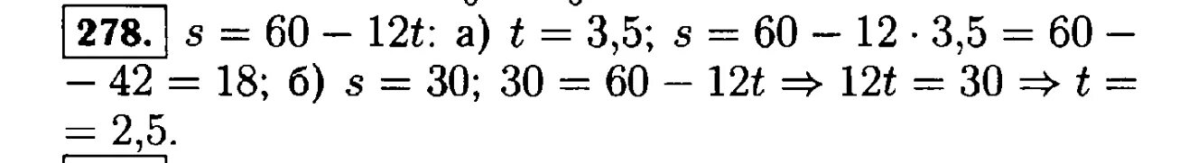
Алгебра 8 класс макарычев номер 278