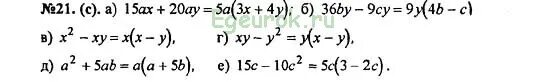
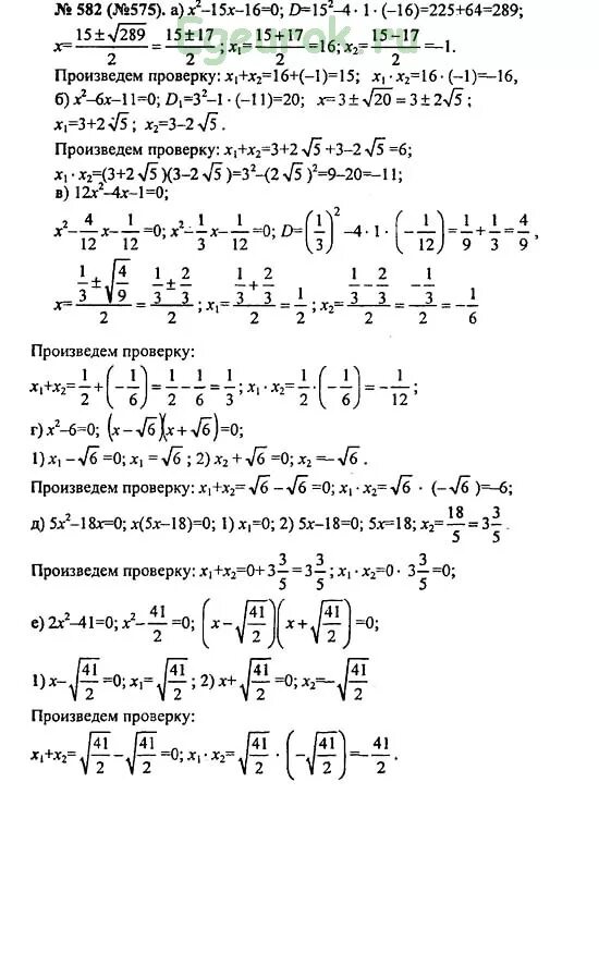
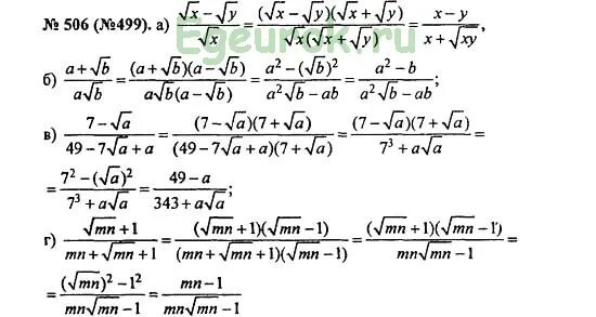
Алгебра 8 класс макарычев номер 601