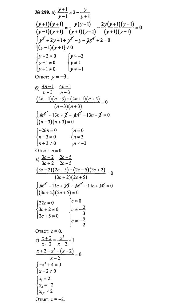
Алгебра 8 класс номер 164