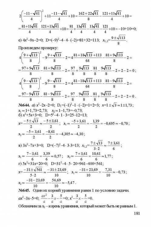
Алгебра 8 класс редакция теляковского