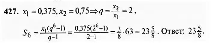
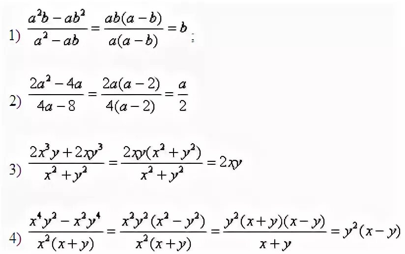
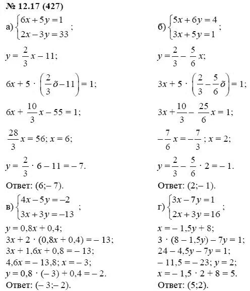
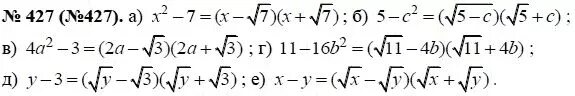
Алгебра 8 класс упражнение 427