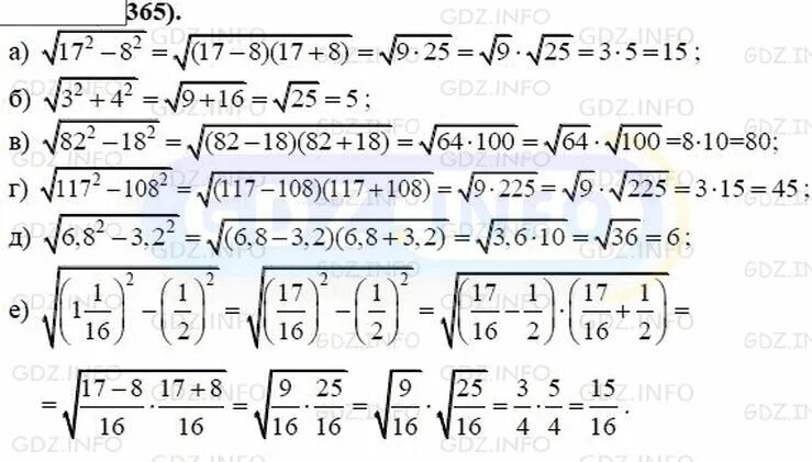
Алгебра 8 упр 30