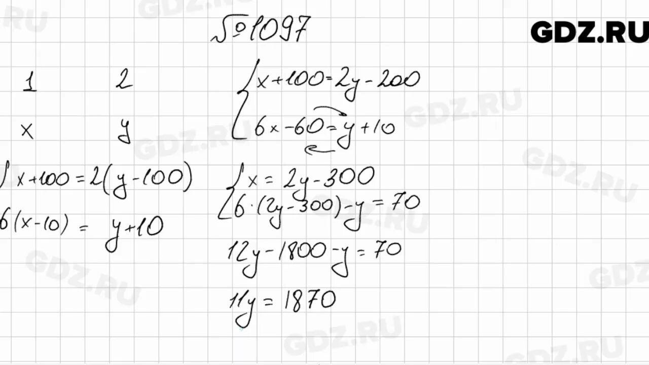
Алгебра 9 класс мерзляк 828